Ads

close
close
Using the Distributive Property (All Answers Include Exponents) (A)
Using the Distributive Property (All Answers Include Exponents) (A) from www.math-drills.com

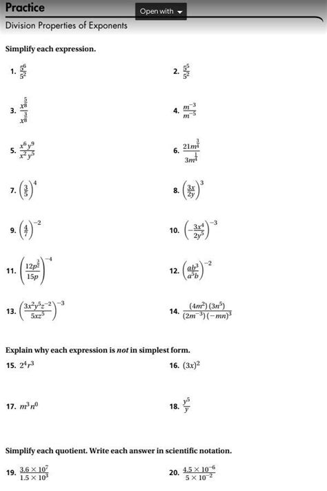
Understanding Division Properties of Exponents

What Are Exponents?

Exponents are special mathematical notations used to represent numbers that have been multiplied together a certain number of times. Exponents are also referred to as powers or indices, and can be written in a variety of ways. For example, 32 can be written as 32, 3x3, or 3 squared. This number would represent 3 multiplied by itself two times, which is equal to 9.

Division Properties of Exponents

The division properties of exponents state that when two exponents with the same base are divided, the exponents should be subtracted and the answer is the same base with the difference between the exponents. For example, if you divide 84 by 82, the answer would be 82. This is because 4 - 2 = 2.

How To Solve Division Properties of Exponents Worksheets

Division properties of exponents worksheets are an excellent way to practice and reinforce the division properties of exponents. To solve these worksheets, first identify the base of the two exponents, and then subtract the exponents. For example, if the worksheet asks you to divide 48 by 43, the answer would be 45 (8 - 3 = 5).

Division Properties of Exponents Worksheet Answers

Answers to division properties of exponents worksheets can be found online or in math textbooks. It is important to remember that the answers to division properties of exponents worksheets may vary depending on the base of the exponents. For example, the answer to 48 divided by 43 would be 45, but the answer to 58 divided by 53 would be 55.

Conclusion

Division properties of exponents are an important concept to understand in mathematics. By understanding division properties of exponents, students can solve division properties of exponents worksheets quickly and accurately. Answers to division properties of exponents worksheets can be found online or in math textbooks.

Understanding Division Properties Of Exponents

Using the Distributive Property (All Answers Include Exponents) (A)
Using the Distributive Property (All Answers Include Exponents) (A) from www.math-drills.com

Understanding Division Properties of Exponents

What Are Exponents?

Exponents are special mathematical notations used to represent numbers that have been multiplied together a certain number of times. Exponents are also referred to as powers or indices, and can be written in a variety of ways. For example, 32 can be written as 32, 3x3, or 3 squared. This number would represent 3 multiplied by itself two times, which is equal to 9.

Division Properties of Exponents

The division properties of exponents state that when two exponents with the same base are divided, the exponents should be subtracted and the answer is the same base with the difference between the exponents. For example, if you divide 84 by 82, the answer would be 82. This is because 4 - 2 = 2.

How To Solve Division Properties of Exponents Worksheets

Division properties of exponents worksheets are an excellent way to practice and reinforce the division properties of exponents. To solve these worksheets, first identify the base of the two exponents, and then subtract the exponents. For example, if the worksheet asks you to divide 48 by 43, the answer would be 45 (8 - 3 = 5).

Division Properties of Exponents Worksheet Answers

Answers to division properties of exponents worksheets can be found online or in math textbooks. It is important to remember that the answers to division properties of exponents worksheets may vary depending on the base of the exponents. For example, the answer to 48 divided by 43 would be 45, but the answer to 58 divided by 53 would be 55.

Conclusion

Division properties of exponents are an important concept to understand in mathematics. By understanding division properties of exponents, students can solve division properties of exponents worksheets quickly and accurately. Answers to division properties of exponents worksheets can be found online or in math textbooks.

No comments:

Post a Comment